![]() 原标题:7075铝合金半固态坯料的热变形行为与热加工图 7075铝合金因其卓越的比强度和良好的耐磨性能,被广泛应用于汽车制造、航空航天、铁路运输以及建筑行业。半固态金属成形可解决传统常压铸造铝合金成形易产生气孔、裂纹等缺点。研究者使用Deform-3D模拟条件下的参数进行半固态成形,生产出的筒形件外形完整、表面品质优异,组织致密且无成形缺陷。采用复杂触变挤压技术制备了7075铝合金弯头零件,经热处理后弯头零件平均抗拉强度为485.49 MPa,平均伸长率为5.49%。但相关工艺设备要求高、生产效率较低,可见,塑性加工是提升金属材料的重要手段,因此,有必要针对7075铝合金进行热变形研究。通过Gleeble-3800热模拟试验机,研究了7075铝合金在(400~475) ℃×(0.001~1) s-1范围内的热拉伸变形行为。利用MMS-100热/力模拟试验机对固溶态7075铝合金进行了热压缩试验,构建了描述(350~450) ℃×(0.01~10) s-1条件下的本构方程。对半固态挤压的7075铝合金进行了恒定梁压缩试验,研究半固态7075铝合金在压缩温度为580~620 ℃,柱塞速度为10 mm/min下的热变形行为,发现固相颗粒的分布和微观织构决定了半固态7075铝合金的弹性性能。通过热压缩试验研究了不同半固态处理工艺的7075半固态铝合金的流变行为,发现在触变成形中,近等轴组织试样变形抗力最大,而球状组织试样变形抗力显著降低。当前,关于7075铝合金热变形行为的研究主要集中在非半固态显微组织合金的固相线以下区域,以及半固态组织合金在液固相线温度区间内的热变形特性。然而,对于半固态显微组织合金在固相线温度以下的热变形行为的研究尚显不足。 鉴于此,本研究拟通过对SIMA法制备的7075铝合金半固态坯料在固相线温度以下进行热压缩模拟试验,对流变应力进行摩擦-温度双修正,建立引入Zener-Hollomon参数的Arrhenius本构模型和热加工图,研究半固态7075铝合金的热变形行为,以期为该合金在固相线温度以下的塑性变形提供参考。 图文结果 试验材料为7075铝合金,其主要化学成分(质量分数,下同)为:5.30%的Zn,2.50%的Mg,1.40%的Cu,0.22%的Cr,0.10%的Mn,0.05%的Si,余量为Al。利用SIMA法制备出7075铝合金半固态坯料,切割成若干ϕ8 mm×12 mm的试样,使用Gleeble-3500热模拟试验机对其进行热压缩模拟。其中,在试样两端和压头之间使用钽片、石墨粉与机油混合物作为润滑介质。分别将试样以10 ℃/s升温速率加热至250、300、350、400和450 ℃,保温120 s以消除温度梯度;分别以0.001、0.01、0.1、1和10 s-1的应变速率进行压缩试验。热压缩流程示意图及7075铝合金半固态坯料组织见图1。
图1 热压缩流程示意图及7075铝合金半固态坯料原始显微组织 在塑性变形过程中,绝大多数塑性功转化为热能,而仅有3%~5%的塑性变形能(包括空位能和位错能等)以储存能的形式保留在材料内部,导致试样温度上升。在应变速率较低的情况下,热电偶能够自主调节以维持预设的温度水平。然而,在应变速率较高时,试样温度上升速率加快,热电偶无法及时将试样温度调整至预设值,因此必须执行温度校正。图2是应变速率为1 s-1与10 s-1条件下的平均温度变化。可以看出,当应变速率为1 s-1时,试样实测温度与设定温度差异不超过5 ℃,应变速率为10 s-1时,试样由塑性功引起的温升达到了10~35 ℃。因此,需单独对10 s-1应变速率条件下的应力值进行温度修正。
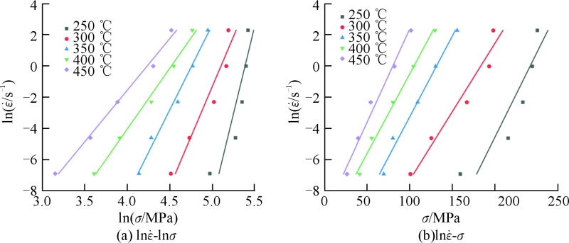
图2 7075铝合金半固态坯料在1 s-1和10 s-1下的平均温度变化 图3为摩擦、温度修正前后的7075铝合金半固态坯料的真应力-真应变曲线。可以看出,7075半固态坯料展现出正应力敏感性。在变形初始阶段,合金表现出典型的加工硬化特征,此时合金内部的位错密度显著增加,大量位错的堆积与缠结显著提升了金属的变形抗力。随着应变进一步增加,变形初期累积的大量位错为动态软化过程(包括动态回复和再结晶)提供了必要的驱动力。在这一阶段,加工硬化效应与动态软化效应相互作用,导致应力增长速率减缓,直至达到一种动态平衡状态。 取流变应力σ为峰值应力,作ln ε˙-ln σ和ln ε˙-σ曲线,见图4。利用Origin软件对lnε˙-[lnsinh(ασ)]和ln[sinh(ασ)] -1/T的关系进行线性拟合,结果见图5。图6为lnZ-ln sinh (ασ)的线性关系与7075铝合金半固态坯料应力峰值。从图6a可见,曲线拟合程度很高,线性相关系数达到0.988,说明修正系数较为准确。
图3 摩擦、温度修正前后的7075铝合金半固态坯料的真应力-真应变曲线
图4 不同温度下lnε˙-lnσ和lnε˙-σ关系
图5 不同温度下lnε-ln[sinh(ασ)]和ln[sinh(ασ)]-1 000/T
图6 lnZ-ln[sinh(ασ)]的线性关系与7075铝合金半固态坯料应力峰值 应变速率敏感指数m=∂lnσ/∂lnε˙,耗散因子η=2m/(1+m),表示材料在加载或卸载过程中的能量损失程度。在塑性变形过程中,材料内部的微观结构变化,如位错运动、晶界迁移、相变等都是能量耗散的过程,耗散因子值越大,意味着材料在变形过程中有较好的能量吸收能力,塑性变形能力越好。将能量耗散图和失稳图组合得到加工图,见图7,等值线上的值为耗散值η。可以看出,耗散值整体偏小,说明7075铝合金半固态坯料具有较高的变形抗力。
图7 半固态7075铝合金在不同应变下的热加工图 在对7075铝合金进行热压缩变形模拟研究中,发现其在变形温度范围为300~450 ℃,变形速率介于10-3~10-1 s-1的条件下,平均峰值应力达到76.2 MPa。进一步分析表明,该材料的最佳加工窗口为320~450 ℃和0.001~0.6 s-1,此区间内的耗散值介于0.19~0.36。对于均质态7075铝合金,在变形温度为310~400 ℃和变形速率为0.01~10 s-1的条件下,变形温度为400 ℃时的平均峰值应力为91.75 MPa,其最佳加工窗口为370~400 ℃和0.1~1 s-1,耗散值范围为0.19~0.22。此外,7075铝合金半固态坯料在相同的温度和应变速率条件下进行热压缩变形模拟,结果显示在300~450 ℃的变形温度下,平均峰值应力为92.6 MPa;在400 ℃时,平均峰值应力为83.65 MPa。其最佳加工窗口为350~450 ℃和0.001~0.03 s-1,耗散值范围为0.20~0.30。通过比较,半固态坯料的平均峰值应力相较于铸态提升了21.5%,而与均质态相比则降低了10%。半固态坯料的最佳加工温度窗口相较于铸态有所缩小,但与均质态相比则有所扩大。在变形速率方面,半固态坯料的最佳加工窗口更倾向于低应变速率区域,与铸态和均质态相比均有所偏移。半固态坯料的耗散值较铸态有所降低,但较均质态有所提高。这一现象可归因于半固态坯料的显微组织特征,即近球状固相颗粒被细小晶粒的“液相”所包围,其平均晶粒尺寸小于铸态,从而导致其力学性能优于铸态合金,变形抗力相应增大。均质态合金由于其成分均匀性,强度高于半固态坯料,因此变形抗力更大。铸态合金之所以具有更宽的加工范围和更高的耗散值,得益于动态再结晶的广泛激活,这有效释放了应力并防止裂纹的产生。半固态坯料主要以动态回复为主,耗散值较低。均质态铝合金在高速率(0.1~1 s-1)下表现出色,其均匀的结构能够承受快速变形而不产生裂纹。均质态铝合金较低的耗散值表明其变形过程以均匀塑性流动为主,能量较少用于微观结构重组。因此,半固态坯料通过微观结构优化提升了抗变形能力,但其加工范围受限于应变速率敏感性。 结论 (1)7075铝合金半固态坯料具有正的应变速率敏感系数,峰值应力较铸态铝合金提高了21.5%,较均匀态铝合金降低了10%。 (2)对7075铝合金半固态坯料不同变形条件下的流变应力值进行了预测,参数Z的预测与实际值的相对平均误差为7.4%。 (3)7075铝合金半固态坯料最佳热加工工艺参数范围:变形温度为350~450 ℃、变形速率为0.001~0.03 s-1;相比铸态铝合金,最佳加工范围收窄。相比均匀态铝合金,最佳变形温度拓宽,最佳变形速率偏向低应变速率区域。 《7075铝合金半固态坯料的热变形行为与热加工图》
王万里 郑小平 李红斌 田亚强 陈连生 本文转载自:《特种铸造及有色合金》免责声明:本公众号发布的内容(如文章、图片、视频等)主要源自本平台原创、授权转载或公共资源。我们虽努力确保内容准确完整,但无法绝对保证所有信息的真实性,请用户自行判断并承担风险。同时,本公众号尊重原创、保护版权,涉及版权问题请及时联系我们处理。未经授权,严禁任何形式的商业性转载、摘编或复制。 |