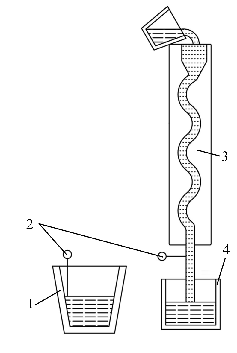
![]() 原标题:Sr变质复合蛇形通道对Al-25Mg2Si半固态浆料组织影响 Al-Mg2Si合金在工业上有着广阔的应用前景,材料中所包含的Mg2Si相具有高熔点、低密度、高硬度、低热膨胀系数的特点,这使得Al-Mg2Si合金可以作为Al-Si合金的代替应用于汽车活塞制造中。但是通过常规铸造得到的铸件组织中,初生Mg2Si相的尺寸往往比较粗大且常呈现花瓣状的形貌,共晶组织则呈现粗大的层片状,初生相和共晶组织的尖锐处会产生应力集中,降低了材料的力学性能,限制了其应用。通过细初生相和改变共晶组织形貌可以有效地降低材料中的应力集中,提高力学性能。 在合金熔体中加入变质元素对其进行变质处理是一种简单可行的改善合金组织的方法。研究者对Al-Mg2Si合金的变质处理工艺进行了大量研究。向Al-20Mg2Si合金中加入Al-P中间合金,发现P能够细化初生Mg2Si相,但并未发现P能够有效变质合金的共晶组织。向Al-5Mg-2Si-Mn合金中加入Al-10Gd中间合金,发现Gd元素能够有效细化α-Al相并变质共晶组织。向Al-Mg2Si合金中加入Bi元素,发现Bi能够细化初生Mg2Si相和变质共晶组织,但Bi在细化初生相的效果上有着过变质的问题。向Al-20Mg2Si合金中加入Al-10Sr中间合金,发现Sr能够在变质共晶组织的同时细化初生Mg2Si相,但Sr变质也存在着过变质现象。虽然变质处理后合金的力学性能更好,但变质处理存在着一定的问题,如P元素不能变质共晶组织,Gd元素等稀土元素的成本较高,而Bi元素和Sr元素存在着过变质的现象。此外,大多数变质元素能够有效变质材料的添加量大于0.1%,但添加过多的变质元素不仅使得变质的成本提高,还会提高杂质元素的含量。 除了化学变质处理外,还有许多物理方法能够有效改善Al-Mg2Si材料的组织。研究者发现较快的冷却速率可以细化和变质Al-Mg2Si合金中的初生Mg2Si颗粒,使得组织应力集中现象得到缓解。研究了振动冷却斜板工艺对Al-20Mg2Si材料组织的影响,发现在经过振动冷却斜板工艺处理后,得到了细小、圆整的初生Mg2Si颗粒。发现熔体过热处理也能有效细化和变质Al-Mg2Si材料中的初生Mg2Si相。但在上述物理方法中,关于变质共晶组织的工艺的报道较少。 蛇形通道法是制作半固态合金浆料的一种方法。相比于其他半固态制作方法,蛇形通道法成本较低、工艺流程简单。在这种工艺中,将熔体浇入蛇形通道内,熔体在蛇形通道的激冷作用下迅速处于过冷状态,促进初生相大量形核并在过冷熔体中得以保留,弯曲的蛇形通道使得流动的熔体产生了强烈的自搅拌现象,促使初生相熟化呈近球形。这种含有大量细小圆整的初生相的半固态合金浆料被收集到蛇形通道下方的收集坩埚中,随后进行流变成形或触变成形。因此,半固态浆料的质量对于最终零件的品质十分重要。通常,半固态浆料的组织越细小,最终零件的组织越细小。研究者将蛇形通道法应用于6061合金中,发现在通过蛇形通道法制成的半固态浆料中,材料组织均匀,球化和细化效果好。应用蛇形通道法制作7075合金的半固态浆料,发现获得的半固态浆料中,α-Al的形貌变得更加圆整,尺寸也更加细小。但大量研究表明,蛇形通道法只能对初生相起到细化的效果,其并不能对共晶组织产生有效变质。 近年来,有研究者试图将蛇形通道法和向材料中添加变质剂进行变质的方法结合起来,希望能够在细化初生相的同时变质共晶组织。在A390合金中加入Sr变质后,再将其通过蛇形通道,得到半固态浆料。研究发现,得到的半固态浆料中,同时实现了初生相的细化及共晶组织的变质。但这种方法尚未应用于Al-Mg2Si合金中。因此,本课题将对Al-25Mg2Si合金使用Sr变质复合蛇形通道处理工艺,研究这种工艺能否同时实现初生Mg2Si的细化及共晶组织的变质,旨在为相关研究提供参考。 图文结果 试验所用的Al-25Mg2Si合金由工业纯铝(99.99%,质量分数,下同)、纯镁(99.95%)和Al-12Si合金(铸锭)熔炼而成。变质元素Sr以Al-10Sr中间合金(挤压态)的形式加入。采用额定功率为7.5 kW、额定温度为1 000 ℃的SG2-7.5-10坩埚电阻炉进行Al-25Mg2Si的制备。 首先将纯铝和Al-12Si合金随石墨黏土坩埚一起在电阻炉中加热至700 ℃,使得纯铝和Al-12Si合金完全熔化。用石墨棒搅拌熔体后,再以石墨棒将以铝箔包裹的纯镁(20%烧损率)压入熔体中,随后升温至750 ℃,待温度稳定后保温30 min。在保温期间,每隔10 min对熔体进行一次搅拌,最后向熔体中加入Al-10Sr中间合金进行变质处理,变质处理的保温时间为15 min。出炉前,向熔体中加入精炼剂(主要成分为KCl、NaCl和Na2SiF6)进行精炼,并对精炼后的熔体进行扒渣。待熔体冷却至浇注温度(710 ℃)后,将其浇注到石墨蛇形通道中(见图1),测量通道出口处的浆料温度,并以直径为60 mm的铜坩埚对浆料进行收集。本试验使用通道直径为20 mm的蛇形通道,Sr的加入量分别为0和0.03%,蛇形通道的弯道数量分别为5和6,其弯道部分的流动长度分别为396 mm和462 mm。
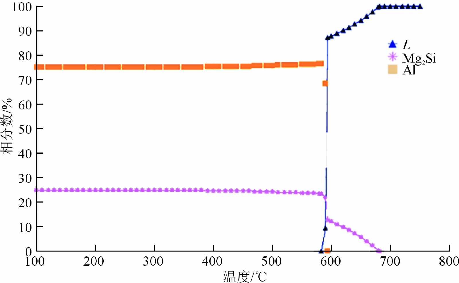
图1 蛇形通道工艺示意图 图2为不同工艺条件下Al-25Mg2Si浆料的XRD分析结果。可以发现,试样均由Al相和Mg2Si相组成。由此可见,Sr变质复合蛇形通道处理工艺不会改变Al-25Mg2Si合金的相组成。由Al-Mg2Si伪二元平衡相图可知,当熔体温度达到液相线时析出初生Mg2Si相,然后再于共晶温度区间析出Al-Mg2Si共晶组织。在复合Sr变质处理的Al-25Mg2Si合金中未发现含Sr物相,这可能是由于Sr加入量仅0.03%,形成的含Sr相低于XRD的检测范围。 图3为基于JMatPro软件的Al-15.85Mg-9.15Si(即Al-25Mg2Si)合金凝固过程热力学计算结果。可以看出,初生Mg2Si相于682.04 ℃开始析出,随着温度降低,初生Mg2Si相质量分数逐渐升高,到594.52 ℃时达到12.81%,随后开始伪二元共晶转变。温度降至583.23 ℃时完全凝固。由此可知,蛇形通道处理后Al-25Mg2Si合金浆料的温度应控制在682.04~594.52 ℃之间,才能保证初生Mg2Si相的形核和早期生长阶段受蛇形通道的激冷和自搅拌作用的影响,实现对初生Mg2Si相的细化。图4为测得的5弯道蛇形通道出口处浆料温度。可以看出,所测得的出口最高温度为627.84 ℃,处于Al-25Mg2Si合金的固相两相区,因此,初生Mg2Si相在蛇形通道内形核并开始生长,蛇形通道未直接影响合金的伪二元共晶转变阶段。
图2 不同工艺条件下Al-25Mg2Si浆料的XRD谱图
图3 基于JMatPro软件的Al-25Mg2Si合金凝固过程热力学计算
图4 5弯道蛇形通道出口处浆料温度 经过不同工艺处理后的Al-25Mg2Si合金的组织形貌见图5。相比于未经处理的浆料,熔体通过弯道数为5的石墨蛇形通道后,所得的浆料组织中的初生Mg2Si相变得粗大。然而,通过弯道数为6的石墨蛇形通道后,Al-25Mg2Si材料组织中的初生Mg2Si却更加细小。另外,需要注意的是,通过蛇形通道法处理后的Al-25Mg2Si合金组织中,初生Mg2Si相的分布相较于传统铸造的合金组织中的初生相更不均匀,且有明显的团聚现象。关于Sr元素对初生相的影响,在传统铸造和通过弯道数为5的蛇形通道所得浆料组织中,0.03%的Sr的加入使得初生相有所细化。但在通过弯道数为6的蛇形通道所得的浆料组织中,相较于未添加Sr变质剂的试样,添加0.03%的Sr可以将树枝状初生Mg2Si相变质为多边形块状,但未能使得初生Mg2Si产生进一步细化。经过不同工艺处理后的Al-25Mg2Si浆料的共晶组织见图6。 对不同工艺条件所得浆料的初生Mg2Si相尺寸进行了统计,见图7。可以发现,5弯道的石墨蛇形通道使得浆料中初生Mg2Si相变得粗大,但6弯道的石墨蛇形通道却明显细化了初生Mg2Si相。
图5 不同工艺下Al-25Mg2Si浆料的光学金相显微照片
图6 不同工艺下Al-25Mg2Si浆料的共晶组织
图7 不同条件下Al-25Mg2Si浆料中初生Mg2Si相的晶粒尺寸 对不同工艺条件制备的Al-25Mg2Si合金进行背散射电子像观察,见图8。可以看出,在未经过蛇形通道处理的Al-25Mg2Si浆料中,初生Mg2Si相呈不规则的多边形状态,与有关研究结论一致。但在经过蛇形通道处理后,特别在经过6弯道的蛇形通道处理后,浆料中的部分初生Mg2Si颗粒变得圆整。这是由于熔体在蛇形通道中流动,在通道内壁的激冷和异质形核作用下产生大量晶粒,这些晶粒在过冷熔体中得以保留,流动引起的自搅拌作用导致Mg2Si晶粒界面前沿液相成分均匀,抑制了界面前沿的成分过冷,导致初生Mg2Si相熟化圆整。 图9和图10分别为Sr变质前后蛇形通道处理Al-25Mg2Si合金SEM背散射电子像以及相应的EDS面扫描结果。对比可以发现,Mg元素与Si元素的分布高度一致,表明Sr变质复合蛇形通道变质工艺处理没有改变Al-25Mg2Si合金的相组成,Mg元素的烧损率选择合理,没有过量的Si元素形成Si相,这与XRD(见图1)结果一致。
图8 不同工艺下Al-25Mg2Si浆料的背散射电子像
图9 蛇形通道处理Al-25Mg2Si浆料的EDS面扫描结果
图10 Sr变质复合蛇形通道处理Al-25Mg2Si浆料的EDS面扫描结果 0.03%Sr变质复合6弯道石墨蛇形通道制备得到的Al-25Mg2Si合金浆料的EBSD结果见图11。可以发现,初生Mg2Si相与相邻部位共晶组织中的Mg2Si相呈现一致的晶体学位向关系,这表明先析出的初生Mg2Si相可以作为共晶Mg2Si相的形核基底。
图11 0.03%Sr复合6弯道蛇形通道处理Al-Mg2Si浆料的EBSD取向图谱 结论 (1)Sr变质复合蛇形通道工艺能够同时实现Al-25Mg2Si合金中的初生Mg2Si相细化及共晶Mg2Si变质。6弯道的石墨蛇形通道复合0.03%Sr处理Al-25Mg2Si合金微观组织细化和变质效果最优。 (2)蛇形通道通过激冷、自搅拌促进初生Mg2Si形核和熟化。初生相在蛇形通道内形核并开始长大,释放了部分结晶潜热,模具的冷却能力主要用于共晶转变阶段,快速凝固促使共晶Mg2Si细化,但未改变共晶Mg2Si的生长方式。 (3)Sr元素通过杂质诱发孪晶机制改变Mg2Si相的生长方式,实现对Mg2Si相形貌的改变。
《Sr变质复合蛇形通道对Al-25Mg2Si半固态浆料组织影响》 本文转载自:《特种铸造及有色合金》 |