当前位置:首页>铸造工艺

热处理对镁合金铸件腐蚀性能及氢脆行为的影响

戴磊、张江等 发表于2026/4/24 16:15:02 镁合金腐蚀性能氢脆行为

原标题:热处理对 AZ91 镁合金腐蚀性能及氢脆行为的影响

摘要

系统探究了T4固溶与T6固溶时效工艺对AZ91镁合金腐蚀行为及氢脆敏感性的调控机制。微观组织表征显示,T4处理促使原始粗大骨骼状Mg17Al12相完全固溶于基体,而T6时效则诱导Mg17Al12相以非连续层片状形式析出于晶界,同时在晶粒内部形成弥散分布的颗粒结构。电化学腐蚀测试结果表明,热处理显著提升了合金的耐蚀性,其中T4处理通过消除大阴极-小阳极电化学效应并增加基体铝含量实现耐蚀性能提升,T6处理则主要得益于Mg17Al12相的细化与均匀分布。氢致延迟断裂测试结果表明,热处理后样品的氢脆抗力显著增强,T4处理主要源于Mg17Al12相的完全溶解抑制了氢陷阱形成,T6处理则主要归因于析出强化效应与杂质氢陷阱密度的降低。

镁合金由于密度低、比强度高、铸造性能好以及弹性模量低等优点,被广泛应用于3C、汽车和航空航天等领域,享有“21世纪绿色金属结构材料”的美誉。尽管镁合金有诸多优点,但低的电极电位使得镁合金在潮湿大气、蒸馏水和海水等腐蚀介质中极易发生腐蚀,耐腐蚀性能较差。同时,腐蚀过程中产生的H容易进入镁合金内部,诱导镁合金发生氢脆,两者的协同作用导致镁合金在相对较低的应力下失效,发生脆断,由于先兆性不明显,极容易造成严重的破坏以及巨大的经济损失,因此,提高镁合金耐腐蚀及氢脆抗性显得尤为重要。

近年来,一些学者研究了热处理对镁合金的腐蚀抗性的影响以及腐蚀过程中进入金属内部的H对镁合金氢脆的影响。针对415 ℃固溶与175 ℃时效处理的AZ91镁合金,Tan等分析了其在NaCl溶液中的腐蚀表现,发现固溶处理会促使材料相对于铸态表现出更高的腐蚀速率,基体中残余的β相促使表面保护膜产生点蚀,显著加速了基体腐蚀进程;经时效处理后,β相析出并呈现均匀分布状态,晶粒尺寸显著减小,从而有效增强了基体的抗腐蚀性能。Li等也得到了同样的结论,经固溶处理后,样品在腐蚀溶液中保护膜因薄弱而破裂,破裂区域作为阳极,未破裂区域作为阴极,从而加剧了微电偶腐蚀过程,在腐蚀过程中产生的H2含量也是最高的。然而一些学者却发现固溶处理能够很好地提高镁合金耐腐蚀性,Ma等通过对Mg-5Y-1.5Nd 镁合金进行535 ℃固溶处理,使β相很好地溶入基体,他们认为该相作为加速腐蚀的阴极相而消失,进而大大提高了基体的耐腐蚀性。Miao等人的研究结果也很好地证明了第二相粒子作为加速腐蚀的阴极,经过固溶处理溶入基体后能够使得基体耐腐蚀性能提高。Bakhsheshi-Rad等人发现镁合金中第二相的种类也对其腐蚀性能有极大影响,Mg-6Zn镁合金在固溶过程中第二相Mg51Zn20相分解为基体和Mg12Zn13,Mg51Zn20相的减少,降低了基体与第二相的微电流作用,从而提高了腐蚀抗性;然而对于Mg-3Zn镁合金,固溶处理对第二相Mg12Zn13几乎无作用,进而对腐蚀抗性的提高作用微乎其微。由此可以看出,镁合金的腐蚀抗性与基体中第二相的分布、尺寸以及种类有着强烈的相关性。

腐蚀过程中产生的H,一部分结合成氢气排出,另一部分会进入镁基体,诱导镁合金产生氢脆。Chen等人对其进行了详细的研究,发现扩散进入镁基体中的H原子会优先在β相附近集聚,当浓度超过镁局部固溶度时,便会与镁基体生成脆性相MgH2,使得β相产生微裂纹,随着扩散氢浓度的增加,微裂纹逐渐增多,在慢拉伸过程中,微裂纹集聚形成主裂纹,对基体造成严重损坏。Kamilyan等人通过对AZ91以及AZ31镁合金在300 ℃、30 MPa高温高压条件下气相充氢14 h,发现AZ91镁合金的氢脆敏感性远远大于AZ31镁合金,原因是AZ31镁合金中β相含量远远小于AZ91镁合金,导致基体中氢含量远远小于AZ91镁合金,该试验结果再一次佐证了Chen等人的研究。Winzer等人认为进入镁合金内部的H主要通过提高局部塑性、促进位错发射、延迟氢化物断裂等方式作用,并模拟了镁合金延迟氢化物开裂机制,模拟结果与镁合金在蒸馏水中的氢脆试验结果相吻合,很好地解释了镁合金在蒸馏水中的氢脆现象。Chen等人在阴极极化的条件下,发现AZ91镁合金在NaOH溶液中极化3 h,表面出现了明显的气泡,为氢分子的存在提供了强有力的试验证据,同时,根据Mg-H2O的电位-pH图,在理论上计算并证明了MgH2可以在整个pH值范围内生成,为MgH2的存在提供了证明。

由于目前对热处理后镁合金的腐蚀性能和行为存在不同认识和理解,特别是关于热处理后镁合金的氢脆行为研究甚少,所以本课题对铸态及经过T4和T6处理后AZ91镁合金在Na2SO4溶液中的腐蚀及氢脆行为进行了研究。

01 试验部分

1.1 材料制备

本研究采用的试样为普通浇注成形的镁合金,将AZ91镁合金铸锭放入已预热的坩埚中,通入二氧化碳和六氟化硫混合保护气,在电阻炉中加热至680 ℃左右,直至金属熔化完全后将熔融的镁合金倒入提前预热好的金属模具中。合金的化学成分如表1所示。将浇注好的板材在真空电阻炉中进行固溶T4(400 ℃+20 h)处理,将固溶处理的板材放入热水中热淬,将部分热淬的固溶板材再即刻进行时效T6(200 ℃+20 h)处理。

表1 AZ91镁合金化学成分 wB/%

1.2 浸泡试验

将不同条件下的样品用电火花线切割机切成8 mm×8 mm×5 mm的腐蚀试样,用砂纸逐级打磨至2 000#后抛光,酒精清洗后冷风吹干称重备用,腐蚀溶液为0.1 mL Na2SO4溶液,浸泡时间为3天。将腐蚀后的样品用硝酸银和三氧化铬混合溶液清洗腐蚀产物,并分别用二次去离子水、酒精冲洗样品表面,冷风吹干后再次称重,腐蚀速率由式(1)得出:
                    Vcorr=8.76×ν/ρ(1)

式中:Vcorr为腐蚀速率(mm·a ¯¹);ν为失重腐蚀速率(g·m ¯²·h ¯¹);ρ为密度(g·cm ¯³)。

1.3 电化学测试

极化曲线的测试腐蚀溶液仍为0.1 mL Na2SO4溶液,样品暴露出10 mm×10 mm与溶液接触,其他部位用环氧树脂包裹,避免与溶液接触,样品在溶液中浸泡5 mim后测试,使用标准三电极系统测试:饱和甘汞电极为参比电极、铂电极为对电极、试样为工作电极,扫描速度为0.01 V/s。

1.4 电解充氢及恒应变速率慢拉伸

将处理好的板材用电火花切割机切成标准板状拉伸件,工作区尺寸为15 mm×3 mm×3 mm,拉伸应变速率恒定为10¯6 s¯¹,拉伸试样由恒电流仪进行电解充氢。充氢溶液为0.1 mL Na2SO4溶液,加入1 g/L的Na4P2O4作为毒化剂,电流密度分别为10~70 mA/cm²,时间为10 h,充氢结束后将表面腐蚀产物除去,露出新鲜表面后马上进行拉伸测试。为了保证试验的准确性,每个试验条件下测试3个试样后取平均值。拉伸断口用酒精清洗冷风吹干后密封存放。氢脆敏感系数由式(2)得到:
             δe=((δa-δib))/δa×100%(2)

式中:δe为氢脆敏感系数(%);δib为电流密度为b时的伸长率;δa为不充氢时的伸长率。

1.5 表面及断口形貌

试样微观组织、热处理后成分、表面形貌以及拉伸断口形貌分别通过SEM、XRD观察及表征。β相成分含量由式(3)得出:

式中:Iα和Iβ分别为α、β峰综合强度,Rα和Rβ分别为α、β相应晶面的相关强度因子。铸态试样用4%硝酸酒精腐蚀观察,热处理后的试样用苦味酸、乙酸和酒精腐蚀观察。

02 结果与讨论

2.1 微观结构

图1为铸态、T4及T6处理镁合金的微观形貌扫描电镜图像。如图1(d)所示,铸态AZ91镁合金的微观组织主要包含初生α-Mg相、共晶α-Mg相、共晶β-Mg17Al12相以及片状β共晶相。其中,β-Mg17Al12相以不连续的粗大骨骼状结构为主,并伴有少量片状分布于α-Mg晶界,片状共晶相β′主要分布在共晶β-Mg17Al12周围的共晶区,并向α-Mg相内部生长。由图1(b)可知,在实施固溶处理后,原本呈粗大骨骼状的共晶Mg17Al12相以及片状共晶结构,均已完全溶解于Mg基体之中。图1(c)和(e)为T6处理后的显微组织及局部形貌。观察发现,β相再次沉淀析出,呈现两种截然不同的特征:其一为晶界的不连续析出,此类β相呈现特定取向,以层片状依附于晶界生长;其二是晶粒内部的连续析出,表现为大量颗粒状β相在晶内均匀弥散分布。

图1 不同热处理条件下镁合金表面腐蚀形貌

由图2的XRD图谱分析可知,T4工艺促使β相完全固溶于镁基体内部,而经T6处理后该相再次发生析出。此外,基于公式(3)的计算结果,铸态试样中β相占比为7.9%,T6处理后则提升至12.6%。这一显著的析出增量与微观形貌,如图1(e),表现出极好的一致性。Yang等人通过对Mg-3Sn-1Mn镁合金热处理后发现类似的试验结果。

图2 不同样品的XRD图谱

2.2 浸泡及电化学腐蚀测试

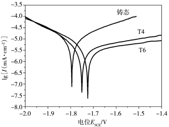
为了更好地证明热处理对镁合金腐蚀性能的影响,将三种不同条件的镁合金浸泡在Na2SO4溶液中三天,通过失重法计算了各自条件下的腐蚀速率(Vcorr)。此外,还测得了三种试样的极化曲线,如图3所示,失重法以及极化曲线各自的计算结果如表2所示。

图3 不同样品的极化曲线

表2 样品的腐蚀速率

在质量损失测试中,不同热处理状态样品的腐蚀性能表现出显著差异。腐蚀性能优劣顺序为T4处理最优,其次是固溶时效处理,最差的是铸态样品。这一现象的产生机制在于:在微观电偶腐蚀过程中,β相为阴极,而α-Mg则作为阳极相,两者构成的微电池体系加速了镁基材料的腐蚀进程。研究数据表明,T4热处理后试样的抗腐蚀能力较铸态材料提升了44.4%,这主要得益于加速腐蚀的β相充分溶解到镁基体中,从而抑制了电偶腐蚀的形成。另一方面归因于镁基体中铝含量的增多,而铝含量的增多又会导致腐蚀电位的增大(图3)。经过T6热处理后,原本溶解于镁基体中的β相发生再析出现象,这些析出相主要分布于晶界位置以及晶粒内部。相较于原始铸造状态,新生成的β相颗粒尺寸更为细小且在基体中的分布更为均一。这种细小且均匀分布的析出相能够有效提升材料的耐腐蚀性能,与粗大且分布不规则的β相相比表现出更优的抗腐蚀特性。试验数据显示,T6处理样品的腐蚀抗力较铸态试样提升了37.6%。然而,电化学测试中发现,铸态、T4和T6样品的腐蚀电流密度分别为1.21×10¯5、4.13×10¯6和4.52×10¯6 A·cm ¯²,电化学测试测得的腐蚀电位数值分别为-1.78 V、-1.76 V和-1.73 V。基于这些数据可推断,三种热处理状态样品的腐蚀性能优劣顺序为T6>T4>铸态,其中T6处理样品表现出最优的耐腐蚀特性。值得注意的是,这一排序结果与之前通过质量损失法获得的腐蚀速率评估结论存在一定差异,原因为经过时效处理后基体中β相大量析出,且数量相对于铸态来说大大增加(图2),根据混合电位理论,导致电位升高。另一方面,由于长时间的浸,而电化学测试过程时间较短,不存在物理脱落过程,导致腐蚀速率较低,电流密度较小。

2.3 腐蚀形貌

经3天Na2SO4溶液浸泡腐蚀试验后,利用扫描电子显微镜(SEM)对热处理前后AZ91镁合金的表面特征进行了表征,结果如图4所示。图4(a)-(c)中分别呈现了铸态、T4及T6处理样品的宏观腐蚀形貌,图4(d)-(f)则提供了三者对应的局部细节放大图。对图4中各样品微观形貌的分析表明,腐蚀破坏的严重程度存在明显梯度。其中,铸态样品的表面损伤最为严重,呈现大范围的剥落现象;T6处理样品次之;T4处理样品的腐蚀程度最轻,表面相对最为完整。这一形貌观察结果与表2中通过失重试验计算得到的腐蚀速率数据表现出高度的一致性。镁合金材料的腐蚀特性与其内部微观结构密切相关,其中β相起着决定性作用。该相的几何尺寸、空间分布及体积分数等参数均会显著影响材料的腐蚀行为。根据Aung等学者的研究观点,β相在腐蚀过程中表现出矛盾的双重效应:首先,作为阴极相与阳极α-Mg构成电偶腐蚀体系,产生微观电流从而加速镁基体的溶解过程;其次,β相本身具有优异的抗腐蚀特性,能够在一定程度上形成物理屏障,抑制腐蚀的进一步扩展,从而提升镁合金的整体耐腐蚀能力。

图4 不同条件下的腐蚀表面形貌

对于铸态样品而言,其组织结构中β相以粗大骨骼形态呈现,呈不连续网状分布于晶界区域,如图1(d)所示。这种组织特征形成了典型的"大阴极-小阳极"电偶腐蚀体系,显著加剧了基体材料的腐蚀进程。SEM观察结果表明,如图4(d)所示,腐蚀表面形成了深度明显的腐蚀坑洞,β相周边的α-Mg基体几乎完全溶解,仅留下裸露的骨骼状β相框架,导致腐蚀程度最为严重。

当样品经过T4热处理后,原有的粗大骨骼状β相完全溶解到镁基体中,如图1(b)所示,有效削弱了微电偶腐蚀效应。电镜分析显示,如图4(e)所示,腐蚀表面仅观察到少量分散的点蚀坑,表现出最佳的耐腐蚀性能。

经过T6处理的样品,先前溶解的β相重新析出,以连续颗粒状和断续层片状形态均匀分布于基体内,如图1(e)所示。相较于铸态样品,其腐蚀抗性显著改善,表面呈现少量点蚀现象,且腐蚀主要集中于晶界区域,如图4(c)所示。进一步的高倍率观察发现,如图4(f)所示,晶界处的α-Mg优先被腐蚀,残留的层片状β相清晰可见。T6处理虽然使整体腐蚀抗性较铸态有明显提升,但晶界优先腐蚀现象可能与该区域β相的不连续析出特征有关。而晶内为连续析出的颗粒状β相,层片状相对于颗粒状尺寸较大,造成局部的阴阳比率相对于颗粒状较大,有较高的腐蚀速率。

2.4 恒应变速率拉伸测试

图5展示了不同充氢电流密度条件下各试样的慢拉伸力学性能参数。试验结果表明,充氢处理对AZ91镁合金的力学性能产生显著影响,且影响程度因热处理状态而异。

图5 不同镁合金试样的慢应变速率拉伸试验数据对比

对于铸态样品,在未充氢条件下的空气中慢拉伸测试显示其伸长率为7.3%,抗拉强度达到175 MPa。当充氢电流密度维持在30 mA/cm²以下时,抗拉强度未出现明显下降,但伸长率已开始降低。在30 mA/cm²充氢条件下,材料的抗拉强度降至151 MPa,伸长率减少至6.3%。随着充氢电流密度进一步提升至70 mA/cm²,材料的抗拉强度进一步下降至140 MPa,伸长率则降至4.1%。

T4处理样品在未充氢状态下表现出优异的塑性,其伸长率和抗拉强度分别为12.5%和206 MPa。经过30 mA/cm²充氢处理后,抗拉强度和伸长率分别降至190 MPa和11.3%。继续增加充氢电流密度至70 mA/cm²时,材料呈现更明显的脆化趋势,抗拉强度和伸长率分别降至171 MPa和10.2%,显示出相对较好的氢脆抗性。

T6处理样品在未充氢条件下的力学性能表现为伸长率7.2%,抗拉强度208 MPa,介于铸态和T4处理状态之间。在30 mA/cm²充氢条件下,T6处理样品的力学性能为抗拉强度191 MPa,伸长率6.5%。进一步观察发现,随着充氢电流密度的逐步增大,材料呈现出明显的脆化趋势。当电流密度提升至70 mA/cm²时,伸长率下降至4.9%,抗拉强度降至172 MPa。

从不同热处理状态的对比分析来看,T4处理样品在未充氢条件下相比铸态样品展现出显著的性能提升:塑性指标(伸长率)增幅达71.2%,强度指标(抗拉强度)提高了17.7%。对于T6处理样品而言,虽然其塑性指标与铸态样品基本相当,但抗拉强度获得了18.8%的明显改善。在70 mA/cm²充氢环境下,铸态伸长率和抗拉强度分别减小了43.8%和20.0%,而T4减小了18.4%和17.0%,T6减小了31.9%和17.3%。

根据以前的研究可知,镁合金在水溶液中的腐蚀过程为析氢过程,而不是吸氧过程,因此腐蚀过程产生的H一部分能够进入镁合金内部,过程如下:

(1)原子H吸附(adsorption)在镁合金表面(M)
            M+H→HadM      (4)

(2)原子H通过溶解变为吸附(absorption)在镁合金内表面的H
           HadM→MHab      (5)

(3)去吸附变成溶解在金属中的间隙原子H
           MHab→M+H      (6)

氢脆现象的产生机理主要源于氢元素在镁合金内部的多种作用方式,包括形成弱化学键、生成脆性化合物MgH2以及诱导局部塑性变形等,这些效应共同导致材料脆化。在外加载荷的协同作用下,镁合金容易在远低于其屈服强度的应力水平下发生断裂失效。深入分析表明,进入镁基体的氢元素主要以原子态氢、分子态氢及氢化镁(MgH2)三种形式存在,且具有在β相周围区域优先聚集的倾向。Chen研究团队的试验结果为此观点提供了有力支撑,他们将AZ91镁合金在27.8 mA/cm²电流密度条件下进行3 h电解充氢处理后,发现充氢诱导裂纹优先在β相处萌生。

综合分析表明,T4热处理工艺能够显著改善AZ91镁合金的力学性能。在未充氢状态下,经T4处理的试样其伸长率和抗拉强度均明显高于铸态样品。这种性能提升的根本原因在于:T4处理过程促使粗大脆性的β相完全溶解到镁基体中,如图1(b)所示,通过固溶强化使得材料的塑性指标和强度指标均获得显著改善。

在相同的充氢处理条件下,T4处理试样表现出更优异的氢脆抗性。具体而言,当电流密度达到70 mA/cm²时,铸态样品的伸长率和抗拉强度分别下降43.8%和20.0%,而T4试样的对应降幅仅为18.4%和17.0%。这种差异的主要原因在于:氢元素进入基体后会优先在β相周围区域聚集,由于T4处理消除了作为主要氢陷阱的β相,而晶界和杂质等次级氢陷阱捕获的氢含量相对有限,从而显著降低了T4试样的氢脆敏感性。相反,铸态组织中粗大β相广泛分布于晶界各处,加之杂质缺陷含量较高,导致氢捕获量大幅增加,通过弱键作用和局部塑性增强等机制极易诱发氢脆现象。此外,当局部氢原子浓度超过基体固溶极限时,会形成脆性氢化镁相,成为裂纹萌生源,在外部拉应力作用下,微裂纹沿受力方向汇聚形成主裂纹,最终导致材料脆性断裂,这解释了铸态样品的高氢脆敏感性。

对于T6处理后的试样,虽然伸长率与铸态样品相比变化不显著,但抗拉强度得到大幅提升,这主要归因于析出强化效应。然而,β相本身具有脆性特征,在拉伸载荷作用下容易产生微裂纹而成为断裂起始点,因此其塑性改善有限。

在充氢条件下,不同热处理状态的氢脆敏感性表现复杂:当电流密度低于30 mA/cm²时,T4试样的氢脆敏感性低于T6试样,如图5(c)所示,这是由于T6处理后杂质缺陷含量相对较少,在低充氢条件下进入基体的氢含量有限,使得T6试样展现出较好的氢脆抗性。然而,当电流密度超过30 mA/cm²时,强充氢能力导致大量氢元素进入基体,使得T6试样β相周围的局部氢浓度显著高于T4试样中其他氢陷阱处的氢浓度,从而导致其氢脆敏感性增加。

2.5 断口形貌分析

断口形貌分析显示,AZ91镁合金在空气环境中进行慢拉伸试验时呈现典型的准解理断裂特征,准解理程度相对较低,断口表面可观察到被闭合撕裂棱包围的浅韧窝,同时伴有较多短小的二次裂纹,如图6(a)所示,并且有相对较多、短小的二次裂纹。随着充氢电流密度的增加,进入镁合金内部的H含量增加,准解理特征越来越明显,程度随着电流密度增加而增大,出现小的解理台阶以及解理面,脆性增加,如图6(d)所示。T4热处理试样的断口形貌特征表现为轻微解理特征的准解理断裂,相较于铸态未充氢试样,其断口韧窝尺寸显著增大且深度加深,撕裂棱的延伸长度明显增加,样品的韧性及抗拉强度大大增加,准解理程度变得明显,如图6(b)所示。原因在于经过固溶处理,粗大的脆性相β被溶入基体中,此过程产生了固溶强化,使得T4样品具有高的强度和韧性。Feng等人通过对镁合金Mg-Zn-Y-Nd-Zr固溶处理后得到了类似的结论。然而,当充氢电流密度为70 mA/cm²时,解理面变大,如图6(e)所示,断面处的二次裂纹数量相对于铸态数量减少,撕裂棱变长,氢脆抗性较铸态增加。T6热处理过程中,β相经历再析出过程,其晶粒尺寸显著细化,均匀分布于镁基体内部,有效改善了微观组织均匀性,如图1(e)所示,由于析出强化作用,对位错的阻碍作用比较明显,断口表现出较强的脆性,如图6(c)所示,随着充氢电流密度的增加,解理面增多增大,断裂方式由准解理向解理转变,如图6(f)所示。

图6 镁合金断口形貌

03 结论

(1)热处理工艺显著调控了AZ91镁合金的微观结构特征。经T4处理后,粗大骨架状β相完全溶解于基体中,而T6处理促使β相在晶界及晶内形成非连续层状与连续颗粒状析出相,实现组织均匀化。

(2)热处理有效提升了材料腐蚀抗力,其中T4处理使腐蚀抗力较铸态提升44.4%,T6处理提升37.6%。T4抗腐蚀性增强源于β相完全溶解导致基体铝元素浓度增加,抑制了微电偶腐蚀;T6则通过析出强化与弥散强化机制提升抗腐蚀性。腐蚀优先发生在晶界区域,主要源于晶界高能态及缺陷密度较高。

(3)在相同电流密度下,T4与T6处理样品的氢致脆化倾向较铸态分别降低15%和13.5%。氢脆抗性提升主要源于热处理优化了氢陷阱分布(β相溶解及杂质减少),降低了基体中氢原子偏聚程度,从而减少氢致损伤。

(4)随着充氢电流密度的增加,三种不同状态下的镁合金断口都展现出由准解理向解理转变的趋势。

作者

戴磊1,张江2,3,刘书畅3,4

1.淄柴动力有限公司
2.山东省机械设计研究院
3.齐鲁工业大学(山东省科学院)机械工程学院,山东省数控机床功能部件关键技术重点实验室
4.上海市环境监测中心

本文转载自:铸造杂志

回页顶部