当前位置:首页>铸造工艺

铝合金铸件的渣气孔形成研究

饶磊、柏雪等 发表于2026/1/20 16:46:40 铝合金铸件渣气孔缺陷

原标题:基于渣 - 气耦合运动模型的铝合金铸件渣气孔形成研究

摘要

针对铝合金铸件中常见的渣气孔缺陷,综合考虑铸造过程中渣粒的聚合运动与氢气的析出吸附之间的动态耦合特征,构建了渣气耦合运动数学模型。研究了铝合金充型及凝固过程中氢气析出、吸附长大、碰撞聚合及随流运动过程,并对圆柱形试样中渣气孔的分布及形貌进行了试验与模拟研究。结果表明,渣气耦合现象促进了渣粒与氢气的上浮,降低了铸件内部渣、气缺陷出现几率。所建立的渣气耦合运动模型提升了对渣气孔缺陷预测的准确性。

渣孔和气孔是铸件中常见的缺陷形式,普遍存在于各类铸件中。大部分夹渣物是由于扒渣、挡渣不完全或者氧化膜破裂卷入熔体中而产生。而液态金属中溶解的气体、铸型粘结剂和水分等受热分解释放的气体滞留于铸件基体中形成气孔。与缩孔、缩松等缺陷类似,夹渣和气孔缺陷也属于典型的非连续性缺陷,这类缺陷显著破坏了金属基体的连续性,严重削弱金属基体的力学性能。在实际生产中发现,这两类缺陷往往具有伴生特点,即气孔中包含渣粒,渣孔中包含气体。因此,这类缺陷形式统称为“渣气孔”。在零件服役过程中,基体中存在的渣气孔缺陷在铸件服役过程中往往是应力集中点,并最终成为零件疲劳裂纹萌生的起源部位。

氢是铝合金内主要的可溶解性气体。在铝合金凝固过程中,溶解于铝液中的氢以原子态不断从熔体中析出,气泡需要克服局部静压力和气泡壁面张力才能形核,因此气泡原位形核较为困难。但由于熔体内杂质颗粒的存在,氢在夹杂物表面的形核功远低于均质形核功,因此氢气泡更倾向于在夹杂表面形成气核,最终形成渣-气复合型缺陷。工程实践表明,渣气孔的形态、尺寸、数量和分布等特征对铸件的疲劳裂纹的萌生、扩展和断裂周期都有很大的影响。同时,渣气孔是一种典型的复合型缺陷,其形成和演变过程包含了金属凝固、气体析出、表面吸附、两相流运动、粒子聚合等多个过程的耦合,且渣-气复合体的体积、重量、密度等特性都在动态变化,同时还会受到合金种类、铸型材料、铸型形态、浇温浇速等工艺因素的影响,因此对渣气孔的预测研究较为困难,相关文献报道也较少。

本文基于铝合金浇注过程中氢气的原位析出、表面吸附、聚合长大及随流运动特征,建立了渣气耦合运动数学模型,采用Fortran语言编写了计算程序,研究了在铝合金充型及凝固过程中渣气复合体的形成、析氢长大、碰撞聚合及随流运动过程,对比分析了渣气耦合现象对于铸件中渣气孔分布的影响规律,为渣气孔缺陷准确预测及工艺优化提供依据。

01 渣-气耦合运动数学模型

1.1 氢的析出形核及长大

铸件凝固过程中,铝熔体内氢的溶解度随着温度的降低而快速下降,熔体内的氢从原来的平衡状态向过饱和状态转变,从而导致氢的析出,氢在铝液中的溶解度如下式:

式中:ST为某温度下氢在铝液中的溶解度;Ps为铝液表面的氢气分压;Es为氢的摩尔溶解热;T为铝液温度;R为气体常数;K为实验常数。

氢原子在熔体降温过程中不断析出,但气泡体积并不是由零逐渐增大的,而是存在最小形核半径。当局部氢分压大于最小形核压力时,宏观氢气孔才开始出现并逐渐长大:

式中:PH2为熔体内局部氢分压;Pe为最小形核压力;Pa为铝液表面的大气压;σ为铝液表面张力;r为气泡最小形核半径;ρ为铝液密度;g为重力加速度;h为气泡深度。氢气泡在离散网格中形核长大过程如图1所示。

图1 氢气形核网格模型

当网格内的氢分压PH2大于此处最小形核压力Pe时,在该网格区域中形成一个具有初始半径的氢气泡核,温度不断下降使得网格内氢溶解度下降,气泡核不断吸收析出氢后体积增大,其气泡体积可表示为:

式中:VH2为氢气体积;ΔST为一个时间步长内温度变化导致的氢气溶解度的变化量;Vn为单元格体积;t和tn分别表示计算的开始和结束时刻。

1.2 渣气复合体的聚合运动

在铸件充型和凝固过程中,渣气复合体不但在熔体中作随流运动,而且随着复合体氢气体积的不断增加而导致其密度降低。同时渣气复合体、氢气泡及渣粒之间也会发生碰撞和吸附,从而导致聚合长大。为了简化计算,模型中假设渣气复合体为两层球体结构,气体包覆于渣粒外部,运动过程中气体与渣粒不再分离。渣气复合体形貌及聚合过程如图2所示。

图2 渣气聚合长大原理图

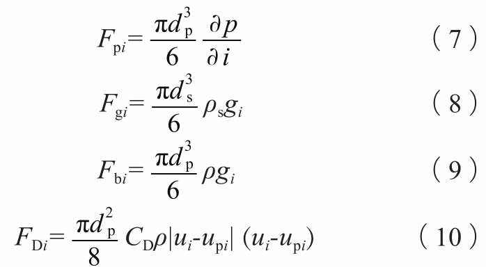
在每一个时间步中,处于复合体作用域内的氢气泡、析出氢、渣粒及渣气复合体之间将触发聚合运算,且遵循大粒子吞并小粒子、复合体吞并渣粒和气泡的规则,最终形成一个体积更大的渣气复合体,同时每个复合体的作用域大小随复合体的直径及渣气比等动态变化。基于复合体的受力分析,复合体的运动控制方程如下:

式中:角标i表示x、y、z分量;ds为复合体中渣粒的直径;dp为复合体直径;ui为金属液速度分量;upi为复合体的速度分量;t为时间;ρs为复合体中固体渣的密度;Fpi为金属液内压力梯度传递给复合体的作用力分量;Fgi为复合体重力分量;FDi为金属液对复合体的运动阻力分量;Fbi表示复合体所受浮力分量;P为金属液压力;gi为重力加速度分量;CD为阻力系数。

02 渣气孔的形成及演变分析

2.1 试样结构及浇注工艺

采用砂型重力铸造方法浇注圆柱形试样,底注式结构有利于渣气孔的形成及聚合运动。试样材料为ZL102合金,浇注温度为720 ℃,充型速度为0.3 kg/s。试验中通过外加Al2O3颗粒(40目,密度3.9 g/cm³)来模拟铝液中的外来夹杂物。Al2O3颗粒加入量为1.4 g,折算成颗粒数约为2 000颗,试样及浇注系统形态尺寸如图3所示。

图3 试样模型及尺寸图

2.2 渣气孔的分布与三维形貌

图4 为圆柱试样纵截面照片,对试样的顶部(A)、中部(B)和底部(C)区域进行渣气孔分布分析。

图4 纵截面上渣气孔分布

图中可以看到,试样纵截面上非均匀分布着形态各异的气孔及渣气孔。试样顶部区域(A)中渣气孔分布较为密集,孔径也较大,渣气孔内包含的渣粒数量也较多。这说明在凝固过程中,铝熔体中析出的氢气与渣粒复合后,降低了渣气复合体的密度,从而促进了渣气复合体向上部的迁移。同时渣气复合体在上浮过程中的聚合长大行为也较为显著,使得顶部区域的渣气孔体积较大。试样的中部区域(B)和底部区域(C)均可观察到明显的气孔和渣气孔,但分布密度明显低于顶部区域,且孔径也明显减小。这是由于凝固中后期析出的氢气在渣粒表面吸附量降低,渣气复合体密度较大,限制了其向上浮的运动趋势,从而较多的停留在铸件内部形成小尺寸渣气孔。

为了进一步探究聚合长大后的渣气孔的显微形貌,对A区域中某一渣气孔暴露面进行了超景深三维扫描分析,其形貌如图5所示。

图5 渣气孔的三维形貌

图中可以清楚地观察到孔内部有多个渣粒聚集,单颗渣粒直径约为600 μm左右,即为试验所加入的Al2O3颗粒。其外部被气孔包裹。所示渣气孔表观直径约为1 800 μm,气体包裹层厚度大于300 μm。

2.3 渣气耦合运动轨迹分析

基于所建立的模型对试样充型和凝固过程中渣气耦合运动过程进行了计算分析,铸型内流场及渣气复合体运动轨迹如图6所示。

图6 渣气复合体粒径分布和流场

图6a、b为充型初始阶段,外部引入的渣粒随金属液快速进入型腔中,此时在浇注系统中的渣粒体积变化不大,且呈弥散形分布,而在圆柱试样上层液面区域开始出现粒子的聚合长大。其原因是由于直浇道和横浇道区域的流速较大,渣粒之间的聚合长大不明显。而在试样上部液面区域的流速显著降低,使得渣粒之间的碰撞聚合长大较为明显。由于充型初期金属液温度变化不大,在此期间氢气在渣粒表面的吸附量也较小,在这个阶段中渣气复合体的体积变化主要是以渣粒间的聚合长大为主。图6c-e为充型中后期阶段,直浇道与横浇道内的流速有所减缓,可以看到因渣气复合而形成的粒子体积增加。同时内浇口区域的流速显著降低,这使得该区域开始出现渣气复合体的快速聚合长大(图6e)。在此期间,渣气复合体不断向上方运动,其聚合体积进一步加大,从而在试样顶部可以看到有较多大体积的渣气复合体的存在。图6f表示完全凝固后渣气孔的分布,从图中可以看到,直浇道和横浇道内的渣气复合体体积有了明显的增加。同时,试样顶部的渣气孔分布也较为明显,且体积较大,而试样中下部区域的渣气孔数量较少,且体积较小。其原因是由于在凝固阶段金属液温度不断降低,促使熔体中的氢大量析出并吸附于渣粒表面,渣气复合体中氢气含量的不断上升使得其密度减小,促进了渣气复合体向试样上部的移动。与试验结果对比,模型计算所获得的渣气孔分布规律及形貌特征与实际基本吻合。

2.4 夹渣对渣气孔形成的影响

为了研究外来夹杂的引入对铸件中渣气孔形成和分布的影响,采用相同的工艺条件分别计算了无夹渣和有夹渣进入的条件下铸件内气孔和渣气孔的分布,结果如图7所示。

图7 有/无夹渣条件下渣气孔分布对比

从图中可以清楚地看到,引入的夹渣对铸件中渣气孔的形貌和分布有着显著的影响。在无夹杂物进入的条件下(图7a),铸件中的气孔呈弥散分布,大部分气孔直径在0.09~0.39 mm之间,处于临界析出氢气孔范围。同时有少量直径较大的气孔(0.7~1.32 mm)分布于铸件和直浇道的上部区域,这是由于部分气孔发生聚合长大,浮力的增加促进了气泡上浮,同时上浮过程也增加了沿程微小气泡合并的几率,从而在铸件上部形成较大的气孔。在有外来夹杂进入的条件下(图7b),单纯气孔数量显著减少,而体积较大的渣气复合体数量明显增加(1.86~3.63 mm),且大多分布于铸件顶部和浇注系统上部。这说明熔体中的氢更倾向于在渣表面吸附,随着渣粒的运动和温度的降低,过饱和氢不断析出,并吸附于渣气复合体上,从而在铸件上部形成体积较大的渣气孔。

03 结论

(1)在铝合金铸件充型、凝固过程中,熔体中的氢更倾向于在渣粒表面吸附形核并不断长大,气体吸附不但促进了渣气复合体的快速上浮,有利于渣的去除,同时也显著降低了熔体中氢的过饱和程度,有利于抑制铸件内部氢气孔的形成。

(2)渣粒、氢气泡和渣气复合体的形貌都在动态变化,三者之间的吸附生长、聚合长大行为对其运动轨迹有着较大的影响。

(3)铸件中的夹渣和气孔缺陷具有很强的关联性,应对渣和气的形成及演变全过程进行耦合分析,才能准确获取其分布特征,从而为优化铸造工艺提供依据。

作者

饶磊,柏雪,董云鹏,游凯
河海大学力学与材料学院

本文转载自:铸造杂志

回页顶部