当前位置:首页>铸造工艺

镁合金专题丨大型砂型差压铸造镁合金铸件的力学性能研究

王晓明,杨光山 发表于2026/1/23 10:10:27 铸造镁合金力学性能

原标题:大型砂型差压铸造EV31A合金铸件组织及力学性能

镁合金由于具有高的比强度和比刚度、减震性能好、良好的成形性和切削加工性能等,得到广泛的应用。由于铸造镁合金比变形镁合金更具有成本优势,因此镁合金铸件占镁合金零件的85%~90%。目前,稀土镁合金因其具有较高的强度、抗蠕变、抗氧化性和耐蚀性等特点而被广泛应用于航空航天及汽车领域,如飞机传动系统机匣类铸件、导弹舱体以及汽车发动机缸体等。高强镁合金ZM6(Mg-2.6Nd-0.4Zn-0.5Zr)具有优良的室温性能、较高的抗蠕变性和持久性及良好的铸造工艺性,用于飞机传动系统中的多种关键零部件,但其抗拉强度(约260 MPa)和屈服强度(约125 MPa)较低,难以满足现代大型复杂结构件对更高力学性能的要求。为解决这一问题,研究者在ZM6合金的基础上加入少量Zn元素,提高了高温抗蠕变性和力学性能。

近年来,随着飞机传动系统铸件向大型化、复杂化、结构功能一体化发展,对铸件的冶金质量和力学性能要求不断提升。ZM6合金已不能满足新型号传动系统机匣类铸件对力学性能不断提升的要求。WE43(Mg-4Y-3Nd-0.5Zr)高强耐热合金虽然强度较高,但合金中Y元素含量高,铸件充型过程中极易氧化产生夹杂等缺陷,导致WE43合金大型复杂铸件冶金缺陷较多,成品率极低,同时铸件的疲劳寿命低,离散度大,难以达到高疲劳寿命设计要求。EV31A(Elektron 21)合金(Mg-3Nd-1Gd-0.5Zr),可在200 ℃下长期使用,其抗拉强度和屈服强度明显高于ZM6合金,且抗拉强度与WE43合金相当,但屈服强度略低于WE43,具有良好的铸造性能和耐蚀性能,铸件冶金质量明显高于WE43合金,因而在高性能大型复杂镁合金砂型铸件上具有广阔的应用前景。本研究以某型号大型砂型差压铸造EV31A合金铸件为对象,对其组织及力学性能进行评估,旨在为拓宽该合金在航空领域高性能复杂结构镁合金铸件应用提供参考。

图文结果

500 kg预熔EV31A合金在铸铁坩埚中于体积分数为2%的SF6+98%的CO2保护气氛下熔化。熔体温度达到760 ℃时通入氩气精炼处理,通气15 min。静止5 min后开始浇注,浇注温度为760 ℃。浇注合金液质量为280 kg,铸件净质量为86 kg,铸件外轮廓尺寸为1 100 mm×450 mm×500 mm。铸型和砂芯均为PEP-SET自硬树脂砂,浇注前在200 ℃下烘烤2 h以降低发气性。主要差压工艺参数:升液速度为0.7 kPa/s,充型速度为0.6 kPa/s、结壳增压速度为1.5 kPa/s,结壳增压压力为6 kPa,结壳时间为10 s,结晶增压速度为2 kPa/s,结晶增压压力为15 kPa,结晶时间为800 s。铸件化学成分经Thermo Scientific ICAP 7200电感耦合等离子体原子发射光谱(Inductively Coupled Plasma-Atomic emission Spectroscopy, ICP-AES)测试,结果见表1。

表1 EV31A合金的化学成分(%)

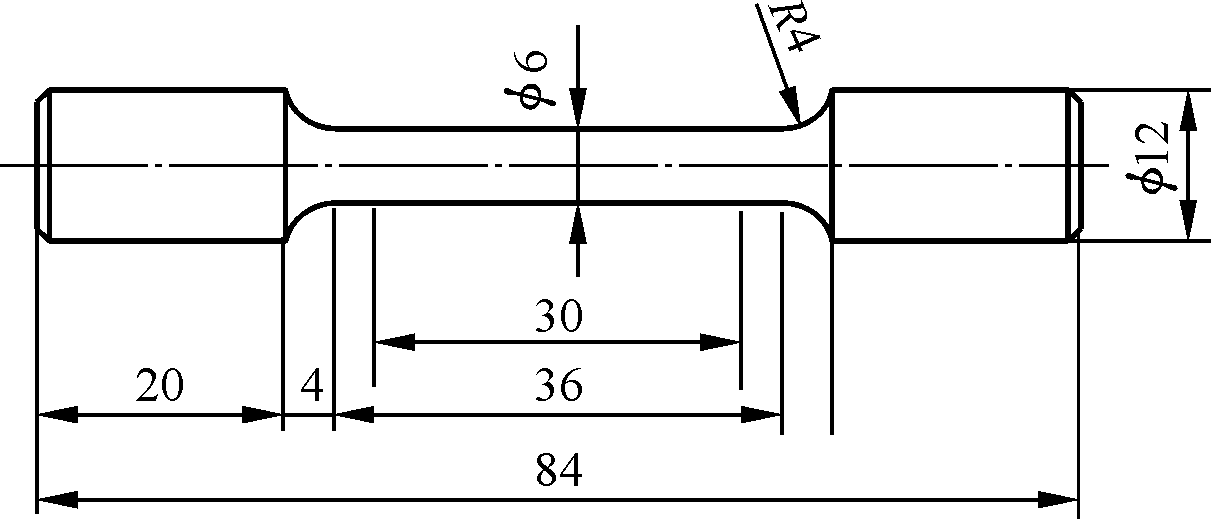
铸件结构复杂,内有多处油路,壁厚相差大,最小壁厚为6.8 mm,最大壁厚为65 mm。本研究所有组织表征及性能测试试样均取自65 mm厚中心处,该位置为I类铸件关键承载部位,冶金质量和力学性能要求高。透射试样制备过程如下:从峰时效试样上线切割出厚度为0.4 mm的小圆片状试样,先用砂纸对试样表面进行减薄至试样厚度为0.007~0.010 mm,再用离子减薄仪中的氩离子束对该试样进一步减薄,得到可在透射电镜下直接观察的透射试样。室温及高温力学性能测试在ED25.305型号微机控制电子万能试验机上进行,力学性能测试试样均采用ϕ6 mm标准试样,每个温度下测试5个试样取其平均值,试样尺寸示意图见图1。室温力学性能测试按GB/T 228.1-2021标准执行,高温力学性能按GB/T 228.2-2015标准执行。高温性能测试前试样保温时间为300 s,以保证试样温度均匀。采用Merlin CoMpact蔡司扫描电镜对室温和高温断口形貌进行SEM分析,以确定断裂模式。

图1 力学性能试样尺寸示意图

图2为EV31A合金铸态物相和组织分析。图3为EV31A合金固溶态及时效态的金相和SEM组织分析。经520 ℃×10 h固溶及60 ℃水淬处理后,晶粒形貌由不规则的等轴晶转为规则的六边形,平均晶粒尺寸由铸态的65.02 μm增长到74.33 μm,平均晶粒尺寸增加了12.5%。图4为EV31A合金峰时效TEM分析。由图4明场像及选区电子衍射(SAED)可以看出,合金组织中含有薄片状的析出相,其长度为30~40 nm,板厚为3~5 nm。

图2 EV31A合金XRD及铸态组织

图3 固溶及时效EV31A合金的显微组织

图4 EV31A合金峰时效TEM及HAADF分析

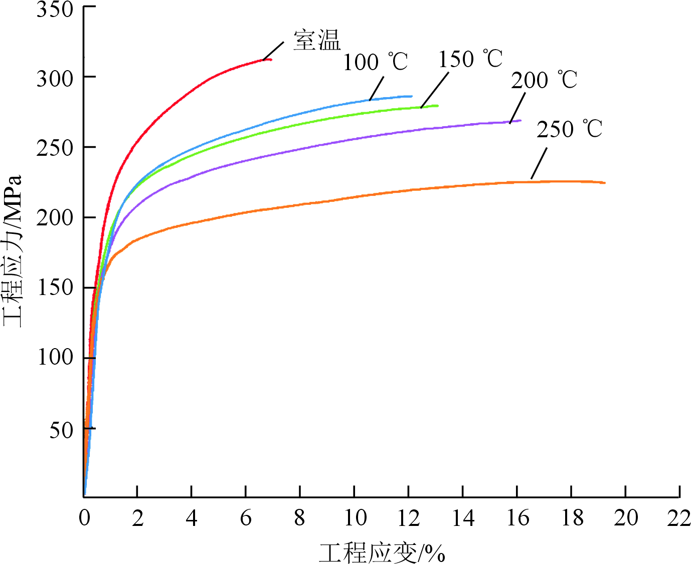
发动机系统机匣类铸件内有多处油路,使用温度低于200 ℃。图5为EV31A合金室温到250 ℃下工程应力-工程应变曲线。可以看出,在测试温度范围内,应力随应变迅速增加,屈服后缓慢增加,均未出现加工软化现象。图6为温度对EV31A合金力学性能的影响。与目前常用的ZM6合金相比,在相同铸造条件下,EV31A合金的抗拉强度提高了20%,屈服强度提高了40%,而伸长率略高于ZM6。采用差压铸造的大型EV31A合金铸件具有较好的综合力学性能,且性能均匀性较高,各项误差均小于5%。铸件经荧光、X光及工业CT检测冶金质量好,热裂、偏析等缺陷倾向性小,适合于大型复杂砂铸机匣类铸件生产。

图7为EV31A合金室温及高温断口SEM形貌。可以看出,室温下,断口由大的解理面和撕裂棱组成,同时断口上有微裂纹,室温下断裂模式为典型的解理断裂。

图5 不同温度下EV31A合金的工程应力-应变曲线

图6 温度对EV31A合金力学性能的影响

图7 不同温度EV31A合金的断口形貌

结论

(1)EV31A合金铸态组织由初生α-Mg和分布于晶界的共晶Mg41(Nd0.6Zn0.29Gd0.11)5相组成,平均晶粒尺寸为65.02 μm;固溶处理后,大部分共晶Mg41(Nd0.6Zn0.29Gd0.11)5溶入基体,晶粒由不规则形貌转变为规则的六边形,晶粒尺寸增加到74.33 μm。峰时效析出相为细小的β′和β1相。

(2)EV31A合金室温抗拉强度为312.3 MPa,屈服强度为174.2 MPa, 伸长率为6.9%,抗拉强度和屈服强度明显高于ZM6合金。室温到200 ℃范围内,合金抗拉强度随温度升高而缓慢降低,250 ℃时明显减低,而屈服强度随温度升高呈线性降低;室温下断裂模式为解离断裂,100~200 ℃下为准解离断裂,250 ℃时为混合型断裂。

《大型砂型差压铸造EV31A合金铸件组织及力学性能》

王晓明1 杨光山1 蔡增辉1
李勇军1 成英茁2 黄永江2 宁志良2

1. 中国航发哈尔滨东安发动机有限公司;2. 哈尔滨工业大学材料科学与工程学院

本文转载自:《特种铸造及有色合金》

回页顶部