当前位置:首页>铸造工艺

铝合金缸体低压铸造浇注系统优化研究

邓伟,宋仲模 等 发表于2026/1/27 9:09:45 铝合金缸体铸件工艺设计

铝合金具有良好的铸造性、低密度和高强度等特点,已在汽车、航空航天等领域广泛使用。发动机是驱动车辆的重要部件,需要具备良好的力学性能,但由于发动机工作环境恶劣,因此对铝合金缸体的铸造成形质量有较高的要求,提高铝合金缸体铸件的性能以及降低铸件缩孔、缩松缺陷成为当前研究的热点问题之一。目前,通过有限元仿真技术模拟分析铸件的铸造成形过程并改善成形品质得到广泛应用。对于合金铸件,需要合理的浇注系统来保证其铸件成形质量。宗学文等运用有限元仿真方法,研究不同方案对叶轮铸件的充型过程、凝固过程以及缩孔缩松的影响。通过数值模拟发现底注式方案优于顶注式方案,并经过实际生产验证,叶轮铸件成形质量较好,力学性能合格,满足钛合金铸件的要求。郭居魁等以吊舱薄壁铸件为研究对象,对初始浇注系统方案进行改进(增加内浇道,并优化内浇道的形状),提高冒口对缩孔缩松的补缩能力,改善了铸件成形质量。经数值模拟可知优化改进后的方案减少了镁合金薄壁铸件的缩孔缩松缺陷。研究者们设计了不同的浇注系统方案,研究各方案对铸造过程中金属液的充型温度场和固相分数变化的影响,并防止在铸造过程中缺陷的形成。结果表明,优化后的浇注系统有效地防止了铸件缩孔、缩松缺陷的产生。对发动机支架的浇注系统结构进行了分析。根据铸造工艺要求设计了不同浇注系统方案,并分别进行数值模拟分析。结果表明,经优化改进后的浇注系统增强了金属液的流动性,使充型更加完整,减少了浇注过程中的氧化夹杂物和铸造缺陷,提高了发动机支架铸件的品质。

综上,通过对浇注系统的优化设计可以获得成形品质较好的产品。本研究采用数值模拟和生产验证的方法,对ZL101A铝合金缸体铸件的浇注系统进行优化设计,研究不同浇注系统设计方案对缸体铸件的充型过程、凝固过程的冷却速率以及缩孔、缩松的影响,以期减少铸造缺陷,获得成形品质较好的铸件,为铝合金铸件的铸造工艺设计和实际生产提供参考。

图文结果

以某型4缸发动机缸体作为对象,其三维模型见图1。缸体铸件质量为18.83 kg,缸筒内径为ϕ68 mm,轮廓尺寸为371.5 mm×348.7 mm×282.6 mm。铸件材质为ZL101A铝合金,其化学成分见表1。通过JMatPro软件计算可得到合金的热物性参数,见图2。该合金的液相线温度为616 ℃、固相线温度为556 ℃。

图1 发动机缸体三维模型

表1 ZL101A的化学成分(%)

图2 ZL101A合金材料的热物性参数

根据缸体铸件结构和铝合金的铸造性能,设计了A、B两种浇注系统方案,见图3。方案A为铸件倒置底注式方案,其内浇道位于缸筒一侧,同时在缸体铸件的壁厚处设置内浇道,并设计相应的冒口和溢流槽等补缩通道。方案B为铸件正置底注式方案,其内浇道设计与方案A相反,位于曲轴箱一侧,同样在铸件的壁厚位置设计内浇道,在铸件顶部设计了相应的冒口和溢流槽。基于有限元软件ProCAST,分别对A、B两方案进行数值模拟,通过对比分析充型过程、凝固过程的冷却速率以及缩孔、缩松缺陷,从而确定较为合理的浇注系统方案。
基于ProCAST软件,分别对缸体铸件和浇注系统进行网格划分得到有限元模型,见图4。方案A的网格数为2 714 430个,方案B的网格数为2 639 598个。网格划分完成后,进入Visual-Cast模块设置相应的边界条件。充型方式为反重力充型,模具材料为树脂砂,空冷,对砂箱的外表面进行冷却处理。其铸造参数设定见表2。

图3 A、B两种浇注系统的设计方案

图4 A、B两种浇注系统方案的有限元模型

表2 模拟参数设定

图5和图6分别为方案A和方案B充型过程的温度场变化示意图。由图5可知,方案A充型初期,金属液经直浇道上升至横浇道,一部分金属液通过内浇道由缸筒一侧进入,开始对缸体铸件充型,此时金属液出现不规则运动,不利于金属液的充型;在充型中期,另一部分金属液开始通过侧浇道进入型腔,与底部金属液汇聚,此时出现金属液飞溅现象;在充型末期,金属液充满整个缸体铸件,充型完成。由图6可以看出,方案B中,金属液先进入横浇道通道,然后一部分金属液通过内浇道由曲轴箱一侧进入,对铸件进行充型,另一部分金属液则通过侧浇道进入型腔,与底部金属液汇聚,进一步填充铸件各位置。在整个充型过程中,金属液液面平稳,充型速度合适,未产生金属液紊流、飞溅等现象。综合比较,方案B的充型过程更加平稳,其速度更加合理,有利于获得成形质量较好的铸件。

图5 方案A充型过程的温度场变化示意图

图6 方案B充型过程的温度场变化示意图

在铸件冷却凝固过程中,冷却速率是评价铸件成形品质的重要指标。随着冷却速率增加,金属过冷程度则会相应的增大,其对凝固组织的影响也会随之增大。从形核机理来看,形核率随过冷度的增加而升高,同时也使合金的微观组织更加细化。此外,当温度迅速下降时,形成的大量晶粒在生长前就被冷却凝固,进一步细化了晶粒组织。

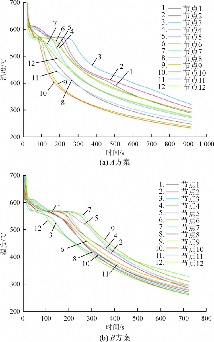
针对方案A和方案B所得到的缸体铸件,分别选取12个节点进行温度变化研究。为保证计算结果的精度,在选择温度节点时应使节点的选取更加均匀,故将缸体铸件从顶部到底部划分为4个梯度,在每个梯度高度处选取3个温度变化点。图7为缸体铸件温度节点的分布示意图。12个节点的温度变化情况见图8。可以看出,A、B两方案在节点温度上均符合浇注温度-液相线温度-固相线温度-室温的顺序,并且在曲线中未出现温度畸变严重的节点。

选取浇注温度(700 ℃)至合金材料固相线温度以下(220 ℃)的温度变化区间和冷却凝固时间,通过计算冷却速率,直观地比较A、B两方案下各节点冷却速率的大小。图9为A、B两种浇注系统方案下12个节点的冷却速率曲线图和平均冷却速率直方图。可以看出,A、B两方案下的12个节点的平均冷却速率分别为0.46和0.57 ℃/s。与方案A相比,方案B的冷却速率提高了23.91%,其具有较高的冷却速率,能减少铸造缺陷的产生。

图7 缸体铸件温度节点分布示意图

图8 方案A和方案B各节点温度变化数值模拟结果示意图

图9 方案A和方案B下12个节点的冷却速率曲线图和平均冷却速率直方图

在低压铸造过程中,缩孔缩松缺陷能够直观反映出铸件的质量和性能。铸件的关键部位出现缩孔缩松缺陷会产生应力集中现象,从而严重降低铸件的力学性能。经ProCAST数值模拟,分别提取A、B两种浇注系统方案的缩孔、缩松缺陷体积数值模拟结果,并进行对比分析,见图10。可以看出,方案A中铸件产生了较多的缩孔、缩松缺陷,其缺陷体积为154.59 cm3,方案B中铸件的缺陷主要位于缸筒一侧,其缺陷体积为108.01 cm3。与方案A相比,方案B中铸件的缺陷体积减少了30.13%,有效减少了缸体铸件的缩孔、缩松缺陷,有利于提高铸件品质。

采用铸件正置底注式方案B进行实际生产试制浇注。可以看出,缸体铸件外观完整,无开裂、缩孔缩松以及浇不足等明显铸造缺陷,外观质量良好,见图11。对缸体铸件进行CT检测,见图12。可以看出,在缸孔的周围以及部分局部薄壁位置未发现超过标准的缩孔缩松缺陷,仅在铸件内部存在一些微量缩孔缩松和细小针孔。这与数值模拟结果基本一致,达到GB/T 9438-2013对铸件质量的要求。

图10 A、B两种浇注方案的缩孔缩松体积模拟结果

图11 发动机缸体铸件示意图

图12 缸体铸件CT检测结果

对缸体铸件本体进行取样,图13为缸体铸件的取样位置和拉伸试验试样,根据GB/T 228.1-2021对所取的4个试样进行拉伸试验。在常温条件下测得缸体铸件的抗拉强度、屈服强度和伸长率均值分别为286.5 MPa、247.3 MPa和3.2%,力学性能良好,满足铝合金缸体铸件要求。对拉伸试样断口进行电镜检测,其拉伸断口微观形貌见图14。可以看出,拉伸断口存在较多韧窝,且比较均匀,能观察到许多涟波花样,力学性能较好。结果表明,铸件正置底注式方案B下生产的铝合金缸体铸件满足使用要求。

图13 缸体铸件本体取样位置及拉伸试样

图14 拉伸断口微观形貌SEM图片

结论

(1)通过对两种浇注系统方案的充型过程和凝固过程的冷却速率数值模拟结果对比分析可知,铸件正置底注式方案的充型过程较为平稳,未出现金属液紊流、飞溅等现象,其冷却速率比倒置底注提高了23.91%,具有较高的冷却速率,铸造缺陷减少。

(2)通过对两种浇注系统方案的缩孔、缩松体积数值模拟结果对比分析可知,倒置底注和正置底注铸件的缩孔缩松体积分别为154.59和108.01 cm3,与倒置底注相比,铸件正置底注式方案铸件的缺陷体积减少了30.13%,可显著减少缸体铸件的缩孔、缩松缺陷,提高铸件的成形品质。

(3)采用铸件正置底注式方案进行实际生产验证,所得缸体铸件外观完整,未出现冷隔、开裂、缩孔缩松以及浇不足等铸造缺陷,外观质量良好。在缸孔的四周以及局部薄壁处均未出现超过标准的缩孔缩松缺陷,仅在铸件内部存在一些微量缩孔缩松和细小针孔,满足GB/T9438-2013对铸件质量的要求。抗拉强度、屈服强度以及伸长率分别为286.5 MPa、247.3 MPa和3.2%,力学性能良好,满足铝合金缸体铸件相关要求。

《铝合金缸体低压铸造浇注系统优化研究》

邓伟1 宋仲模1 雷基林1 罗坤1 张勇2 彭鹄3
1. 昆明理工大学云南省内燃机重点实验室;2. 成都正恒动力股份有限公司;3. 昆明云内动力股份有限公司

本文转载自:《特种铸造及有色合金》

回页顶部