| .jpg) 原标题:超声功率对真空差压铸造ZL114A铝合金性能影响 ZL114A合金因具有较高的力学性能、良好的铸造工艺性能和抗腐蚀性能等优点, 广泛应用于航空、航天、汽车等领域的大型薄壁复杂铝合金铸件生产。真空差压铸造是在低压下充型, 高压下凝固, 在凝固的整个过程中合金熔体受到压力场的作用, 可以获得晶粒细小、组织致密的铸件。 超声波处理熔体是改善合金组织和性能的一种重要手段, 对7050铝合金进行超声处理其组织显著细化, 并随施振功率的增大, 晶粒细化效果增强。超声振动有利于ZL101铝合金等轴晶组织的细化, 并且对其强度、硬度等性能均有所改善。在铝合金熔体中采用合适的超声功率, 可以有效降低试样中的含气量, 从而提高组织的致密性。对纯铝经超声波处理后, 抗拉强度由52MPa提高为72MPa, 增长了35%, 硬度(HB)也从17.2增长至19.7。目前, 研究者已经对超声功率和凝固压力对晶粒细化的效果进行了大量研究, 且获得了许多有价值的结果。但针对超声功率和凝固压力协同作用对ZL114A合金中硬度影响的报道很少。因此, 本课题结合真空差压铸造, 通过引入超声熔体处理技术, 探讨超声功率-凝固压力协同场对ZL114A合金铸件硬度的影响, 为超声熔体处理技术与真空差压铸造技术结合生产大型复杂薄壁精密ZL114A铸件的应用提供参考和借鉴。 图文结果 采用自制的VCPC-Ⅰ型真空差压铸造设备, 并引入超声振动装置进行试验, 见图1。当真空差压铸造抽真空结束时, 开启超声装置, 使其在充型、升压、凝固保压阶段持续施加超声振动直至泄压, 实施超声振动-真空差压协同作用。试样尺寸为φ(6、9、12) mm×100mm圆棒, 铸型为金属型, 预热温度为270℃, 合金为ZL114A, 分别采用真空度为20kPa、充型压差为35kPa、保压时间为80s、超声功率为0、300、600、900 W, 凝固压力为200、250、300、350kPa等工艺参数浇注真空差压铸造ZL114A合金试样。 
	 
	图1 超声振动下的真空差压铸造系统示意图 
	 图2 不同超声功率下铝合金试样硬度的变化趋势 在不同凝固压力下, 试样不同直径同一部位的硬度随超声功率的变化趋势基本一致, 以直径为9mm试样, 压力为350kPa为例, 当超声波功率为0时, 试样的硬度 (HV) 值为83.2;当施加超声功率为300 W时, 其硬度 (HV) 为86.1, 提高了3.5%。这是因为在真空差压铸造中引入超声波, 超声波在金属熔体凝固过程中产生强烈的空化效应和声流效应, 空化效应会在金属熔体中产生空化泡, 而空化泡在快速闭合或崩溃的瞬间, 会产生强大的冲击波, 使初生α-Al及共晶Si被击碎, 使得熔体内部出现数量较多的游离晶;另外, 超声波产生的声流效应迫使金属液在枝晶间流动, 从而将游离晶带向金属熔体内部。在空化效应及声流效应的共同作用下, 提高了金属熔体的形核率, 并破碎了枝晶, 使合金组织充分细化。 
	 图3 直径9mm试样在350kPa不同超声功率下的微观组织 
	 图4 凝固压力对试样硬度的影响 
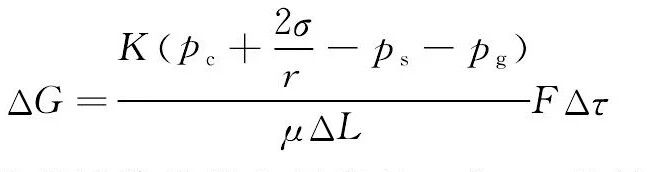
	 图5 不同凝固压力下直径9mm试样金相组织 在铸件的结晶凝固过程中高压场一直存在, 压力使铝合金熔体通过凝固枝晶间的狭窄通道向补缩区流动的驱动力称为挤滤渗流作用, 真空差压的挤滤渗流能力可按下式计算: 
	 式中, ΔG为挤滤渗流的金属容量, m3;pc为结晶压力, Pa;ps为金属液作用于挤滤渗流面上的静压力, Pa;pg为挤滤渗流层中枝晶间析出气体的压力, Pa;μ为金属液的动力粘度, Pa·s;ΔL为挤滤渗流深度, m;F为挤滤渗流面积, m2;Δτ为挤滤渗流时间, s;K为渗透系数, m2。 结论 (1) 超声功率-凝固压力协同作用时, 随着超声功率的增加, 试样的硬度呈现先增大后减小的趋势, 当超声功率达到600W时, 无论凝固压力大小, 试样的硬度均达到最大值。 (2) 超声功率-凝固压力协同作用时, 试样的硬度随着凝固压力的增加而增大, 在350kPa时达到最大值;当超声功率大于600W时, 凝固压力对硬度的影响较大。 本文作者: 杨普超 严青松 芦刚 王清 段勇标 南昌航空大学轻合金加工科学与技术国防重点学科实验室 本文转载自:《特种铸造及有色合金》 |